
기여도 이벤트 852차 결과 발표입니다.
스팀가격 하락으로 당분간 스팀으로 정산 드립니다..
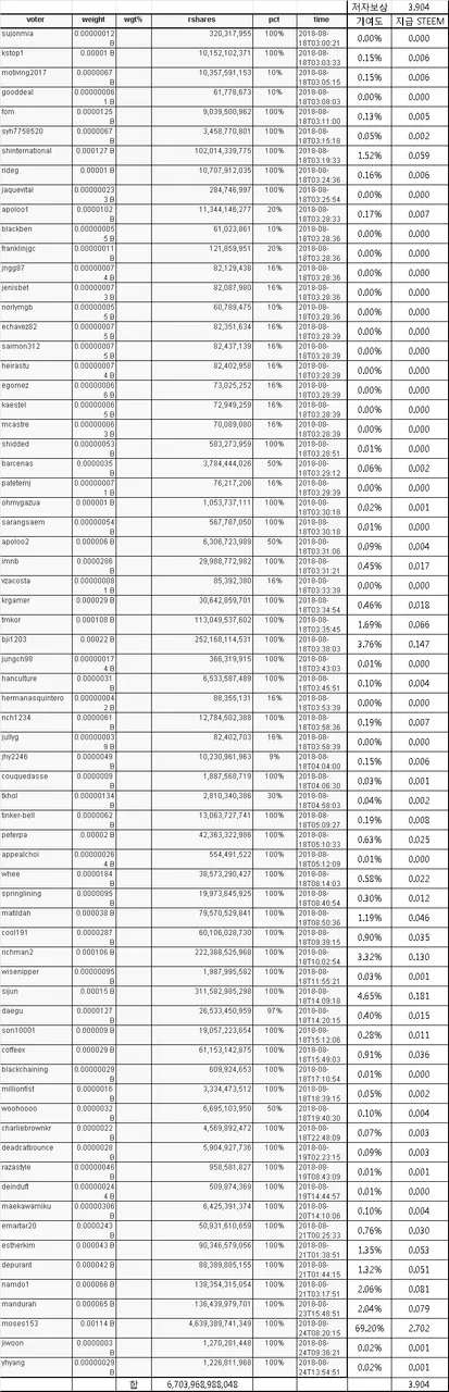
저자보상

기여도 이벤트 852차 링크 - @shinternational/852-100
steemd 사이트에서 rshares 확인
링크 - https://steemd.com/kr/@shinternational/852-100

기여도 대비 저자보상 지급

송금 내역

보팅 한 만큼 돌려드리는 이벤트 :
보팅기여도 863차 - 8월27일 오전9시45분
@shinternational/863-100
보팅기여도 864차 - 8월27일 오후12시00분
@shinternational/864-100
보팅기여도 865차 - 8월27일 오후3시00분
@shinternational/865-100
보팅기여도 866차 - 8월27일 오후6시00분
@shinternational/866-100
보팅기여도 867차 - 8월27일 오후9시05분
@shinternational/867-100
보팅기여도 868차 - 8월27일 오후11시30분
@shinternational/868-100
보팅기여도 869차 - 8월28일 오전9시51분
@shinternational/869-100
보팅기여도 870차 - 8월28일 오후12시00분
@shinternational/870-100
보팅기여도 871차 - 8월28일 오후3시03분
@shinternational/871-100
보팅기여도 872차 - 8월28일 오후6시00분
@shinternational/872-100
보팅기여도 873차 - 8월28일 오후9시00분
@shinternational/873-100
보팅기여도 874차 - 8월28일 오후11시31분
@shinternational/874-100
보팅기여도 875차 - 8월29일 오전9시20분
@shinternational/875-100
보팅기여도 876차 - 8월29일 오후12시01분
@shinternational/876-100
보팅기여도 877차 - 8월29일 오후3시01분
@shinternational/877-100
보팅기여도 878차 - 8월29일 오후6시03분
@shinternational/878-100
보팅기여도 879차 - 8월29일 오후9시00분
@shinternational/879-100
보팅기여도 880차 - 8월29일 오후11시31분
@shinternational/880-100
보팅기여도 881차 - 8월30일 오전9시02분
@shinternational/881-100
보팅기여도 882차 - 8월30일 오후12시00분
@shinternational/882-100
보팅기여도 883차 - 8월30일 오후3시39분
@shinternational/883-100
보팅기여도 884차 - 8월30일 오후6시02분
@shinternational/884-100
보팅기여도 885차 - 8월30일 오후9시00분
@shinternational/885-100
보팅기여도 886차 - 8월30일 오후11시30분
@shinternational/886-100
보팅기여도 887차 - 8월31일 오전9시17분
@shinternational/887-100
보팅기여도 888차 - 8월31일 오후12시02분
@shinternational/888-100
보팅기여도 889차 - 8월31일 오후3시00분
@shinternational/889-100
보팅기여도 890차 - 8월31일 오후6시00분
@shinternational/890-100
보팅기여도 891차 - 8월31일 오후9시00분
@shinternational/891-100
보팅기여도 892차 - 8월31일 오후11시30분
@shinternational/892-100
보팅기여도 893차 - 9월1일 오전9시29분
@shinternational/893-100
보팅기여도 894차 - 9월1일 오후12시03분
@shinternational/894-100